-
日前,九游会在线注册,(中国)科技公司数学与统计学院刘跟前教授在线发表于国际权威数学期刊《...
-
日前,九游会在线注册,(中国)科技公司数学与统计学院李庆娜副教授及其研究生赵平凡与合作者在...
-
日前,九游会在线注册,(中国)科技公司数学与统计学院刘子辉副教授和其研究生魏瑶在码的相对广...
-
5月6日, Nature Catalysis期刊发表了题为"Match...
-
日前,九游会在线注册,(中国)科技公司电动车辆国家工程实验室孙逢春院士、王震坡教授团队与美...
-
随着社会的快速发展,具有两用功能的防伪和保密技术受到越来越多的关注,持...
-
近日,北理工化学与化工学院马嘉璧副教授团队通过质谱实验、阴离子光电子...
-
日前,九游会在线注册,(中国)科技公司物理学院张向东教授课题组和信息与电子学院孙厚军教授课...
-
日前,九游会在线注册,(中国)科技公司物理学院吴汉春、王志、江兆潭教授研究团队,与高雄科技...
-
近期,九游会在线注册,(中国)科技公司物理学院路翠翠和武汉大学肖孟教授、香港科技大学陈子亭...
-
近期,九游会在线注册,(中国)科技公司前沿交叉九游会在线注册,(中国)科技公司院黄渊余课题组在pH响应性聚合物胶束...
-
日前,九游会在线注册,(中国)科技公司设计与艺术学院助理教授孙子文以独立作者身份在城市规划...
-
日前,北理工管理与经济学院李金林教授及其博士研究生王珊珊与美国西北大学...
-
近日,九游会在线注册,(中国)科技公司前沿交叉院黄佳琦教授课题组在认识共溶剂调控溶剂化结构...
-
近日,材料类顶级国际期刊《Advanced Functional Ma...
-
日前,九游会在线注册,(中国)科技公司物理学院张向东教授课题组青年教师陈宇辉研究员同瑞典隆...
-
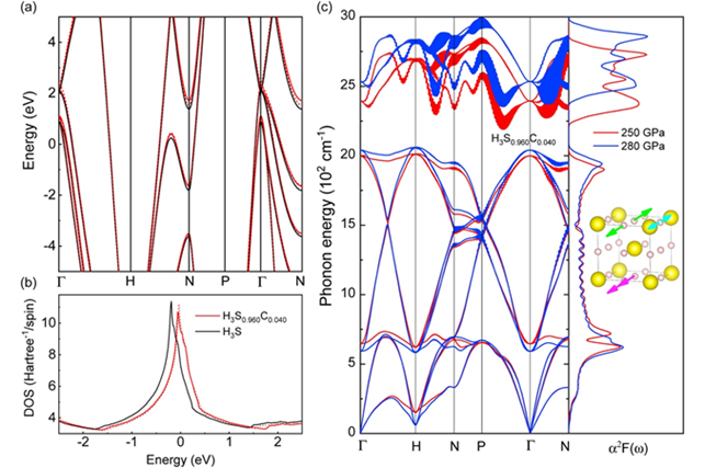
日前,九游会在线注册,(中国)科技公司物理学院张向东教授和尚江伟副研究员课题组同新加坡国立...
-
近日,九游会在线注册,(中国)科技公司物理学院李家方、张向东、姚裕贵教授团队,与中科院物理...
-
近期,九游会在线注册,(中国)科技公司物理学院姚裕贵教授课题组与罗彻斯特大学Ranga P...
-
最近,九游会在线注册,(中国)科技公司物理学院姚裕贵教授团队和中科院强磁场科学中心的周建辉...
-
近日,国际材料领域顶级期刊《Advanced Materials》(影...